研究主題:
本研究團隊以分子動力學模擬(Molecular Dynamics simulation)或是蒙地卡羅法(Monte Carlo simulation) 從事 軟/硬凝體科學 的研究。
近年來的幾個主要研究方向及主題:
1. Dendrimers 在電場作用下的研究
2. 高分子電解質刷在電場作用下的構形研究
3. 高分子電解質電動學性質研究
4. DNA沉積及高分子鏈packing結構的研究
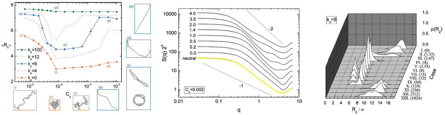
5. 帶電高分子鏈及脂質雙層膜機械性質研究
6. 自組裝單層膜與蛋白質作用力之研究
7. 奈米流體熱傳/熱容性質研究
8. 奈米磁粒子研究
9. 薄膜沉積研究
所獲得的一些成果如下
(up to Jan 2015):

左圖:Dendrimer分子model;左二:不同世代的Dendrimer性質可投射到一Master curve;右二:Dendrimer大小在AC方波及正絃波電場中的變化;右圖上:沉積在Dendrimer上的離子在電場中的分布變化;右圖下:模擬過程中的截圖。
Publications:
- J. Phys. Chem. B 118 (2014) 6265
- J. Chem. Phys. (2015)
2.高分子電解質刷在電場作用下的構形研究: 此研究主題與如何有效運用電場來操控奈微流體通道中各類生物分子的行為密切的關係。我們改變高分子電解質的嫁接密度及電場大小,研究離子分布及鏈構形與電場強度的關係。

左圖:高分子電解質刷高度、大小與電場強弱的關係(上);電解質刷高度分布之機率圖(下)。中圖:高分子monomers(上)及離子(下)側視密度分布圖。右圖:monomers上視密度分布圖。
- Langmuir 29 (2013) 2359
- Polymer 55 (2014) 2900
3.高分子電解質電動學性質研究: 藉由施加以外加DC或是AC電場,我們研究高分子電解質的電動學性質及其所解離離子的密度分布。此類研究所獲得的資訊對微流體元件的設計與開發有大的助益。

左圖:高分子電解質鏈電泳遷移率及鏈伸張與DC電場強度E之關係。中圖:高分子電解質鏈在固定AC電場強度但不同電場頻率作用下構形隨時間t的變化情形(頻率大小(a)>(b)>(c))。右圖:高分子電解質鏈在AC電場下極化率和伸張量隨時間變化及之間的關係
Publications:
- J.Phys.Chem. B 112 (2008) 13177
- Biomicrofluidics
3 (2010) 022410
- Electrophoresis 32 (2011) 3348
- Soft Matter 7 (2011) 1207
4.DNA沉積及高分子鏈packing結構的研究: 我們研究高分子電解質鏈於多價數鹽溶液中的鏈形變化,探討reentrant condensation發生的微觀物理機制。該類研究在基因治療領域中十分的重要,可對非病毒載具之發展提供重要關鍵的資訊,特別是如何能有效使用帶正電的分子包覆DNA將其送入到細胞之內。

左圖:高分子電解質鏈大小及構形與多價鹽濃度及鏈硬度的關係。中圖:高分子鏈-離子複合物的結構因子與離子大小的關係。右圖:硬高分子鏈在不同鹽濃度中的大小機率分布變化。
Publications:
-
J.Chem.Phys. 124 (2006) 044904
-
Macromolecules 39 (2006) 7125
-
J.Chem.Phys. 127 (2007) 064901
- Phys.Chem.
B 112 (2008) 7347
-
J.Chem.Phys. 132 (2010) 024905
5.帶電高分子鏈及脂質雙層膜機械性質研究:奈米科技的進步已使人類能夠直接操控單一個分子。我們以分子動力學模擬法研究以外力(例如光鉗)拉伸環形凝縮DNA鏈的彈性反應。此外我們亦以電腦模擬研究懸於奈米孔洞上脂質雙層膜之穩定性。研究學者希望在此類脂質雙層膜系統上嵌入各種不同的膜蛋白,在嚴格控制的條件下成為檢測膜蛋白功能的平台。

圖示-由左至右:(1)環形凝縮DNA鏈受拉力作用下的力-伸張曲線。(2)
受拉力作用時環形凝縮DNA鏈半徑及鏈蜷繞數的變化。(3)
脂質雙層膜受到探針穿刺的過程。(4) 探針穿刺時脂質膜的力-伸張曲線。
6.自組裝單層膜與蛋白質作用力之研究: 自組裝單層膜(self-assembled monolayer)在表面改質方面有非常多的應用,與能否成功發展生物相容材料、奈米生醫檢測晶片等息息相關。我們以蛇毒蛋白(Cobra cardiotoxin)吸附在alkanethiol自組裝單層膜為例,進行全原子的分子動力學模擬研究。

左圖:蛇毒蛋白吸附在自組裝單層膜表面。中圖上:蛇毒蛋白吸附能與自組裝單層膜接觸面積之關係。中圖下:蛇毒蛋白受向上拉力脫離表面的過程。右:蛇毒蛋白脫離表面時的自由能變化及所受之吸引力。
- IEEE
T. Nanobiosci.9 (2010) 297
- J.Chem.Phys. 134 (2011) 194705
7.奈米流體熱傳性質研究:我們分別利用平衡及非平衡分子動力學模擬法,研究奈米顆粒子懸浮於溶液中對的溶液熱傳性質的影響。實驗發現加入極少量的奈米粒子,溶液熱傳係數會發生巨大的增加,遠超過Maxwell公式的預測。透過模擬資料各種拆項分析的研究,我們發現convection相關聯項是熱傳係數一個主要增加的來源。另外,溶液分子在奈米顆粒外圍會形成排列整齊的層狀結構,此層狀結構的熱傳係數比溶液本身的熱傳係數大很多,且因為奈米顆粒表面積對體積的比值非常大,此層狀結構熱傳係數的整體增加可使整個系統的熱傳係數大幅增加,遠超過古典公式的預測。

左圖:利用分平衡分子動力學法計算奈米流體的熱傳係數。中圖:溶液分子在奈米顆粒子外形成的結構函數g(d)、次序函數
S(d)、溫度分布T(d)及熱傳係數K(d)。右圖:流體熱傳係數增加量與奈米顆粒半徑的關係。
-
J.Nanosci.Nanotech. 8 (2008) 3710
-
J.Chem.Phys. 134 (2011)
154509
-
Appl.Phys.Lett. 98 (2011) 153105
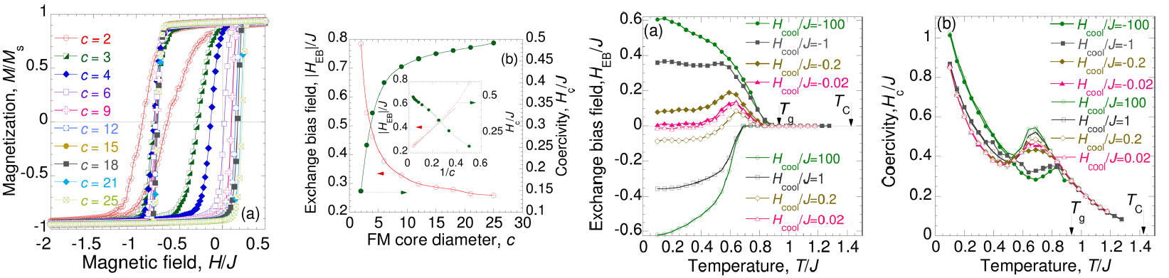
8.奈米磁粒子研究: 我們運用蒙地卡羅模擬法,研究隨機磁異向性(random magnetic anisotropy (RMA))奈米晶粒物質的磁性性質。物理學家對此類系統的性質瞭解仍相當有限,近年來中子散射實驗發現當RMA混亂的程度小時,長距離的磁序關聯可以存在,但是order parameter之平均值卻為零,此現象稱為quasi-long range order (QLRO)。我們的模擬證明了QLRO在三維的RMA材料中存在,並利用finite-size scaling分析法,計算各種臨界指數,模擬結果與renormalization group 理論預測之結果一致。我們進一步結合鐵磁(FM)及RMA材料,分別模擬以此兩材料形成雙層結構及core-shell奈米顆粒結構的磁交換偏置(exchange bias)行為。模擬的結果發現exchange bias (EB) field 和 coercivity 與RMA的強度強烈相依,但是卻與RMA層的厚度無關。增大FM core的半徑,EB field將減小而coercivity增加。我們亦仔細研究了溫度及冷卻磁場,在不同介面的exchange作用力下對EB field 及coercivity的影響。我們發現RMA殼層扮演了傳統反鐵磁層的角色,這解釋了在許多在缺乏反鐵磁相的奈米磁晶粒或磁合金中所觀察到的磁交換偏置現象。

圖由左至右:(1) 在不同FM/RMA core-shell奈米顆粒直徑下的磁滯曲線。(2)EB field和coercivity與奈米磁顆粒直徑c的關係。(3) 在不同冷卻場下的EB field與溫度的關係。(4) 在不同冷卻場下的coercivity與溫度的關係。
Publications:
-
J.Appl.Phys. 105 (2009) 07E125
-
Appl.Phys.Lett. 94 (2009) 186101
-
Appl.Phys.Lett. 95 (2009) 222508
-
J.Appl.Phys. 107 (2010) 09D706
-
J.Appl.Phys.
110 (2011) 043909
9.薄膜沉積研究: 我們利用EAM多體勢能,模擬研究過度金屬元素原子在異質磊晶沉積中,因原子大小差異、基質溫度不同及入射能量角度變化,對薄膜沉積成長結構及粗糙度的影響。

左圖:Pd沉積至Cu基板及Cu沉積至Pd基板結構之差異。中圖:沉積層內應變之大小及沉積層間的間距變化。右圖:不同晶格結構所占比率與晶格不匹配數的關係。
Publications:
-
Phys.Rev.B 79 (2009) 155414。